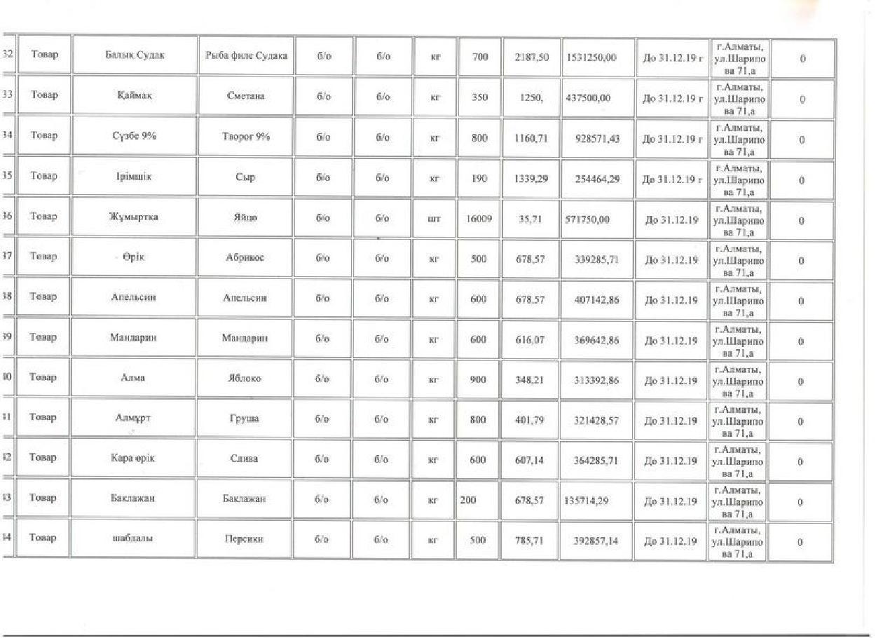
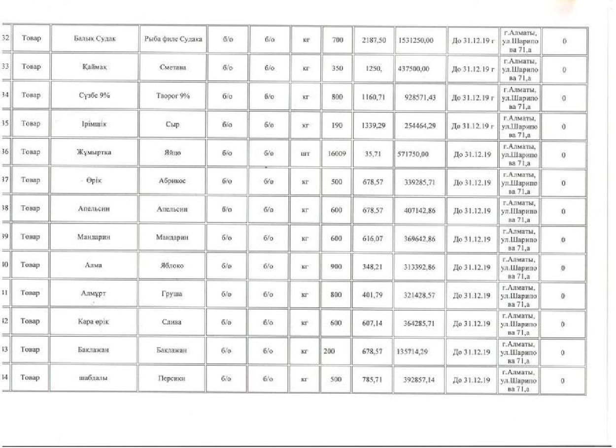
План продукты » ГУ "Санаторный ясли сад №21"
Алматы қаласы Білім басқармасының
«№21 санаториялық бөбекжай-балабақшасы»
мемлекеттік коммуналдық қазыналық кәсіпорны
Меңгеруші :
+7(727) 233-11-02
Әдіскер:
+7(727) 233-08-77
Нашар көрушілер
нұсқасы
21
қаңтар
2019

План продукты






Похожие публикации:

21 қаңтар 2019 план
10 қараша 2017 План ГЗ на 2017г